Zur Startseite
Statik, Festigkeitslehre, Kinematik/Kinetik, 4. Auflage

Anfangswertproblem, Aufgabe 28-6

Die skizzierte Masse m ist durch eine Feder gefesselt und kann sich auf der horizontalen Führung reibungsfrei bewegen. Sie ist durch eine (lineare) Feder gefesselt, die im entspannten Zustand die Länge b hat. Die Masse wird um xanf ausgelenkt und zum Zeitpunkt t = 0 ohne Anfangsgeschwindigkeit freigelassen. Für das Zeitintervall 0 ≤ t ≤ 30 s sollen das Weg-Zeit-Gesetz und das Geschwindigkeits-Zeit-Gesetz berechnet und graphisch dargestellt werden. Ort und Geschwindigkeit der Masse am Ende des Zeitintervalls sind anzugeben.

Geg.: m = 10 kg ;    c = 5 N/m ;    a = 0,4 m ;    b = 0,8 m .

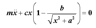
Die Bewegungsdifferenzialgleichung

ist numerisch für die Anfangsbedingungen

 xanf,1 = - 2000 mm   ,   xanf,2 = - 1000 mm   ,   xanf,3 = - 1131,5 mm

zu lösen.

  • Man berechne zunächst die Lösungen unter Verwendung eines Runge-Kutta-Verfahrens 4. Ordnung mit konstanter Schrittweite und verändere die Schrittweite, bis man sicher ist, dass die Ergebnisse korrekt sind.
     
  • Danach ermittle man die Lösungen unter Verwendung einer “MATLAB-ode”-Funktion (Empfehlung: ode45), die mit automatischer Schrittweitensteuerung arbeitet, vergleiche die Ergebnisse mit denen der Runge-Kutta-Rechnung und entscheide, ob die “MaxStep-Option” gesetzt werden muss. Die Anzahl der mit der MATLAB-Funktion berechneten Zeitpunkte ist als zusätzliches Ergebnis auszugeben.
     
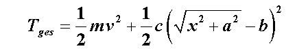
  • Weil keine Energieverluste (durch Reibung oder andere Bewegungswiderstände) während der Bewegung auftreten, muss die Gesamtenergie

    (Summe aus der kinetischen Energie und der jeweils in der Feder gespeicherten Energie) konstant sein. Man gebe zusätzlich diese Funktion als Kontrolle in ein Graphikfenster aus.

Zusatzaufgabe:

  • Man ermittle die Anfangsbedingung, xanf,Grenz < 0 , für die die Masse bei der ersten Annäherung an die Stelle x = 0 diesen Punkt weder passiert noch sofort zurückschwingt, sondern möglichst lange an diesem Punkt (annähernd) in Ruhe ist.
Lösung mit MATLAB Lösung mit
Maple
AWP2MATLABIcon02

Homepage

www.D@nkert.de

D

nkert.de