Ebenes Rahmenelement mit konstantem Querschnitt

Elementsteifigkeitsmatrix

Das ebene biege- und dehnsteife Rahmenelement hat zwei Knoten mit jeweils drei ElementknotenlastenEs soll die Elementssteifigkeitsmatrix für das 6-Freiheitsgrade-Rahmenelement für den Sonderfall "Konstante Parameter EI, EA" entwickelt werden. Zunächst wird auf der Basis der allgemeinen Formel gearbeitet, die sich auf die elementeigenen Richtungen (das "Querstrich-System", siehe nebenstehende Skizze) bezieht.

In der für diese Belastungs- und Verformungsrichtungen geltenden Formel für die  Elementsteifigkeitsmatrix

Allgemeine Formel für eine Elementsteifigkeitsmatrix, bezogen auf ein elemtspezifisches Koordinatensystem

mit

Ansatzfunktionen für das ebene biege- und dehnsteife Rahmenelement

werden zunächst die Matrizen unter dem Integral ausmultipliziert. Danach können alle Elemente der so entstandenen symmetrischen Matrix mit 6 Zeilen und 6 Spalten geschlossen integriert werden (das geht nur wegen der Annahme konstanter Werte für EI und EA) . Man erhält:

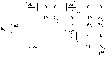
Elementsteifigkeitsmatrix des ebenen biege- und dehnsteifen Rahmenelements mit konstantem Querschnitt, bezogen auf ein elementspezifisches Koordinatensystem

Ebenes biege- und dehnsteifes Rahmenelement mit zwei Knoten und jeweils drei Elementknotenlasten und drei ElementfreiheitsgradenDiese Formel findet man auch in "Dankert/Dankert: Technische Mechanik" auf Seite 279, wo sie allerdings auf ganz anderem Wege hergeleitet wurde. Die Transformation auf die globalen Richtungen entsprechend

Transformation der Elementsteifigkeitsmatrix vom elementspezifischen auf das globale Koordinatensystem

mit der Transformationsmatrix

Transformationsmatrix für die ebene Transformation der Elementsteifigkeitsmatrix für das biege- und dehnsteife ebene Rahmenelement

kann auch noch "von Hand" erledigt werden, und man erhält schließlich die Elementsteifigkeitsmatrix des ebenen Rahmenelements mit konstanter Biegesteifigkeit und konstanter Dehnsteifigkeit:

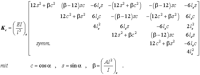
Elementsteifigkeitsmatrix des ebenen biege- und dehnsteifen Rahmenelements, bezogen auf das globale Koordinatensystem

Auch diese Matrix findet man in "Dankert/Dankert: Technische Mechanik" (Seite 281), hergeleitet auf einer anderen Basis.

Elementmassenmatrix

Zunächst wird auch hier auf der Basis der allgemeinen Formel gearbeitet, die sich auf die elementeigenen Richtungen (das "Querstrich-System", siehe Skizze ganz oben rechts) bezieht. In der für diese Belastungs- und Verformungsrichtungen geltenden Formel für die  Elementmassenmatrix

Allgemeine Formel für eine Elementmassenmatrix, bezogen auf ein elemtspezifisches Koordinatensystem

mit

Erste und zweite Ableitung der Ansatzfunktionen für das ebene biege- und dehnsteife Rahmenelement

werden zunächst die Matrizen unter dem Integral ausmultipliziert. Danach können alle Elemente der so entstandenen symmetrischen Matrix mit 6 Zeilen und 6 Spalten geschlossen integriert werden (das geht nur wegen der Annahme konstanter Werte für ρA) . Man erhält:

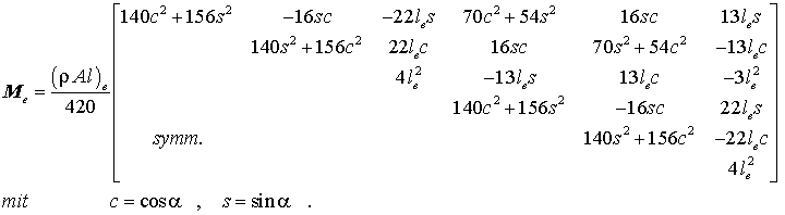
Elementmassenmatrix des ebenen biege- und dehnsteifen Rahmenelements mit konstantem Querschnitt, bezogen auf ein elementspezifisches Koordinatensystem

Die Transformation auf die globalen Richtungen entsprechend

Transformation der Elementmassenmatrix vom elementspezifischen auf das globale Koordinatensystem

mit der oben angegebenen Transformationsmatrix kann auch hier "von Hand" erledigt werden, und man erhält schließlich die Elementmassenmatrix des ebenen Rahmenelements mit konstanter Massebelegung:

Elementmassenmatrix des ebenen biege- und dehnsteifen Rahmenelements, bezogen auf das globale Koordinatensystem

Beispiel: Eigenschwingungen eines ebenen RahmensAuf der Seite Beispiel: Eigenschwingungen eines biege- und dehnsteifen ebenen Rahmens wird die Berechnung am Beispiel mit Matlab-Femset demonstriert (die Elementmatrizen des ebenen Rahmens sind als Standardmatrizen in Matlab-Femset vorhanden).

Home02

Homepage “Dankert/Dankert: Technische Mechanik”

Home02

Homepage “WWW - Ergänzung - Vertiefung - WWW”

Mail02

D

Mail202

nkert.de